PREVIOUS
Next

Chapter 15
The Fine Structure Constant

The Fine-structure constant or what we call α, has been a baffling problem of physics since its discovery in 1916 by Sommerfield. We know its exact value (almost), but do not know what it actually means or why it has this value. Until now, the reason for its existence has been unknown, yet it profoundly influences much of modern particle physics. Using structural electrodynamics (SED), this book would like to propose an answer.

Until now, the Fine-structure constant, α (the Greek letter alpha, as it is often written), has been an enigma. A baffling problem that Richard P. Feynman, in his book called Quantum Electrodynamics (QED) referred to it as one of the greatest damn mysteries in all of science [3]. An accurate value for α is known and confirmed by experiments, but there has been no theory proposed to explain what it means, or why it has the value it has. We know it is a pure number, with no units - a dimensionless number like pi (π). Logic tells us it must therefore be a ratio of two similar things because pi is a ratio of distances, the circumference of a circle to its diameter. Any alien living in flat space would understand what we mean by pi, regardless of our units here on earth. But what do we mean by α?

What does α mean?

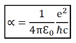
The Fine-structure constant, sometimes called the Sommerfield constant, is a fundamental physical constant, involved in the interaction between what we call charged particles. and the electromagnetic field itself. In (1)other papers I have discussed its definition according to the following formula, based on other fundamental constants.

Here,  is the permittivity of free space and now called the electric constant, e is the elementary charge or charge of the electron,  is the reduced Planck constant and c is the speed of light. We know how to calculate its value, but why it should have this value is not understood. Until now it has been an enigma without an origin and yet it influences so much of quantum mechanics and particle physics.

There is a new theory in physics called Structural Electrodynamics, or SED, that offers an opinion on this. Electrodynamics is the branch of physics concerned with the interaction of light and particles and SED suggests that this interaction is based on structure. It has discovered that all fundamental particles do indeed have a structure. One that was formed by the superposition of two gamma rays. These can merge and form a stable (2)soliton, or type of standing wave, that can last for billions of years. All the measured properties of particles such as charge, magnetism, mass, spin half h, and the two quantum states of an electron (up and down) are a natural consequence of this tiny structure. There is no need to say that particles are infinitely small points that somehow have intrinsic properties, with all the difficulties this approach entails.

This model, which SED calls a roton, has a certain size based on the Compton wavelength, or energy of the particle it represents, and it is simply a matter of using first principles and elementary physics to calculate all these measured properties. This has been done in other papers by SED and they agree well with experiments.

Now we will use SED to try and discover why α has the value it has, and what this means to physics.

The roton has the structure of a lemniscate or infinity symbol draped over a sphere. It is composed of a single photon of an electromagnetic field in the gamma ray spectrum (an extremely energetic form of light). All photons and all elementary particles have a spin of one h or Planck’s constant of angular momentum, which is the smallest amount that can exist, anywhere in anything. It is the basis of this theory, as well as most of quantum mechanics and its value never varies.

The process of forming particles with mass (fermions) from photons without mass (bosons) is called supersymmetry. SED shows how the roton in its model that is formed this way has two loops, and each has half the radius of a flat photon possessing the same total energy. Therefore its angular momentum or h, is shared sequentially between the two loops. Thus, when we measure the spin or angular momentum of a fermion, we get half h at any one time. Remember that angular momentum at this level is defined as h = mcλ, where m is mass, c is the speed of light, and λ is the Compton wavelength’s circumference. Half the circumference means half the spin. Here spin is real angular momentum and what is spinning are the E and B fields in the particle. They form the endless twisted path comprising the roton, which has an overall wavelength of λ, due to the specific energy and momentum it possesses. Its mass is equated to its energy through E = mc² and its wavelength, λ is determined by Planck’s equation or E = hf, and remembering that λ and f are directly and inversely related using c = λf. In the previous section on matter and energy we saw how these two equations for energy are completely identical.

So, using λe or length as the unit, we have one half of the ratio that defines α. There is only one other candidate. This must be the width or thickness of the path itself - the essence or source of the fields and the space E and B occupy to create each other. Again, SED claims it is illogical to think that this should be infinitely small, a singularity. More likely, it must have some particular value for each type of particle with their unique path length or λ. For the electron, we already have what is known as the classical electron radius, re, and for this particle SED proposes this is the width of its path. The ratio of re to ƛe is exactly α. (Here we are using radii and not circumferences as the length). Can this concept be extended to all kinds of fundamental particles, giving α more of a universality?

The answer comes from the amount of curve or curl the path must take to turn back on itself, creating each loop in the roton. Significantly as we just saw in the previous section, Maxwell’s two equations defining the curl of the E and B fields as they create themselves in electromagnetism, provide a mathematical result that we could use. These are:

The left-hand side in each represents the curl of the E and B fields and the right-hand side their value, which for elementary particles is basically how the opposite field varies in time. For the first equation this is negative, because of the minus sign, and the curl of E opposes the time change of B. We can ignore the J term in the second, because this is only significant when we have a moving charge or current, as in macro systems. Inside the particles themselves there is no current. So each field has a curl that equals the time rate of change of the other. Remember also that the ratio of the E to B fields is c, the speed of light, making E much larger than B, by about three hundred million times. Furthermore, this curl comes from inside the path itself, due to its width or thickness, and thus must have a small angular momentum.

Geometry and structure show how this twist or curl has to make a perfect circle (3)twice in each full cycle of the of the E and B fields. SED reasons that because of this, we now have the other half of the ratio that defines α. Only an exact amount of angular momentum inside the path itself will allow it to twist and line up correctly, to form a stable soliton or roton. This is (4)about 137th the overall angular momentum of the roton, which we know is h. When SED contends that the ratio of the path thickness to the path length is α, it is therefore making or defining the small internal twist of αh inside the actual path itself that creates a roton. This is an incredibly small number, possibly too small to measure with today’s technology. Computer modelling will be needed to verify if this is so, and that only this ratio allows the roton, and maybe all other fundamental particles, to exist.

In other words SED is proposing that α is the ratio of the size of the thing that makes the vibration in elementary particles, compared to size or length of the vibrations themselves.

The faster the vibration, the smaller the thing. But what this thing actually is, remains a mystery.

We conclude that only this certain twist in the path, due to its thickness, will sustain the essential ongoing motion in the roton and produce a stable particle. This is the meaning of the fine structure constant.

(1) See my paper: SED The Electron among others.

(2) See the article: [2] in References.

(3) Imagine twisting a hose to make the folded figure 8 or roton with its two loops. Then compare the smaller angular momentum of the water inside the hose due to its internal diameter, to the overall angular momentum through the length of the hose.

(4) Actually, this value is 137.035999084(21), the reciprocal of α.

The Origin of Everything
(Online Edition)